(新课标1卷)2024年全国新高考一卷数学试题真题及答案详细解析
(新课标1卷)2024年全国新高考一卷数学试题真题及答案详细解析
#2024头条高考季#
(新课标1卷)2024年全国新高考一卷数学试题真题及答案详细解析(附一题多解)
2024年高考已落下帷幕,但对于高考科目特别是高考数学的相关讨论却持续不减,2023年高考数学采用的是22题的形式,但在今年临近高考时,师生却突然收到通知,今年的高考数学试题题型将采用九省联考19题的新题型这一形式,这可以说是让广大备考高考的师生来了个措手不及,果然今年的高考试题采用的是全新的19题新题型。新课标全国卷打破了以往的命题模式,更加灵活、科学地确定高考试题的内容及顺序。通过机动调整试题的顺序,这有助于打破学生机械应试的套路,同时,也有助于打破教学中的僵化、刻板训练模式,并且可以有效地防止猜题押题这一不良风气的盛行,同时还有有效地测试学生的应变能力,以及解决各种难度问题的综合能力。
从试题的命制,可以看出2024年高考数学的全国卷持续深化考试内容改革,既考查知识主干,又考查学科能力和素养。同时,还注重考查学科思维、创新与应用能力,还突出考查了学科思维过程和方法。新课标全国卷创设了全新的试题结构,使原有的22题变成如今的19题,题量的减少,可以为学生留足更多的思考时间,加强思维的考查,以学科素养为导向,强化“多想少算”的这一命题理念,为处于不同层次水平的学生提供了充分展现自身才华的空间,服务拔尖创新人才选拔,前助推素质教育发展及助力教育强国建设。
2024年高考数学全国一卷(I卷)单选题部分,第1题考查了集合交集的基本运算,但应注意有部分学生可以纠结于x3这个幂函数不等式的求法,导致做错,其实只要把选项中的特殊值代入进行检验即可快速判定正确选项;
第2题考查了复数的基本运算,属于基础题;
第3题考查了平面向量垂直的基本关系,属于基础题;
第4题考查了三角函数的简单化简求值问题(余弦的和差角公式,正切);
第5题考查了圆柱、圆锥相关的侧面积、体积求值问题;
第6题考查了分段函数单调性相关参数求值问题,作出相应图象后,结合图象,能快速确定正确选项;
第7题考查了正弦函数与正弦型函数图象交点个数问题,题目源于高中数学教材必修一P237页的例1,这也再次印证了高考备考应“回归教材”;
第8题借助“斐波那契”数列考查了函数相关不等式的判定问题,把函数问题转变成数列问题后,结合列举法,即可较易确定正确选项,这也再次提醒高考备考复习数列版块的内容时,应注意数列与函数之间的本质联系;
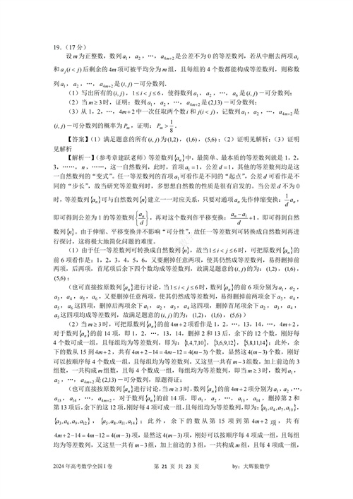
总体而言,2024年的高考数学全国1卷初看起来,感觉题目都比较常规,特别是单选题部分的题目,可能很多学生觉得做起来很顺手,就觉得整体试题也偏向常规简单,但这恰恰是错觉,比如这份试卷多选题部分,填空题部分,还有解答题部分的第(2)问,以及最后一道题第19题的数列新定义题,对于大部分学生来讲还是不太好算,或者说不太好拿高分,满分的,所以也导致了今年的高考数学平均分比去年的还低一些。
为了方便大家更好地复习备考,特地花时间整理了(新课标1卷)2024年全国新高考一卷数学试题真题及答案详细解析(附一题多解),但由于个人时间精力有限,如有错误,敬请指出,非常感谢大家的支持和喜爱!更多的高考全科模拟试题和真题,请留意后续更新!(如需相应文档,可联系作者)
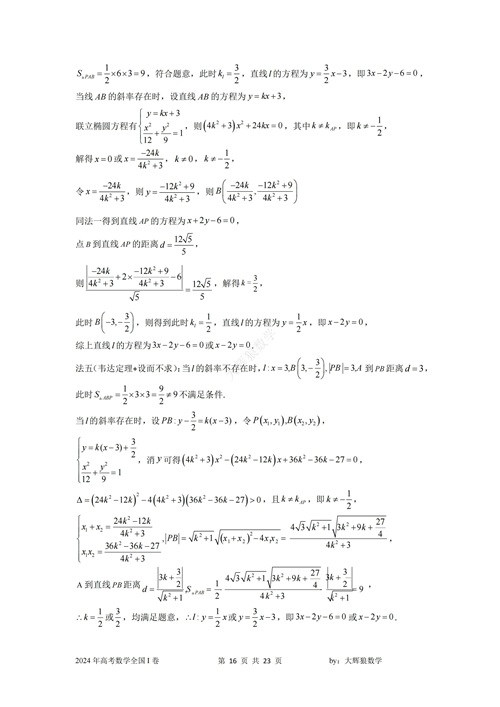
(新课标1卷)2024年全国新高考一卷数学试题真题:




(新课标1卷)2024年全国新高考一卷数学试题真题及答案详细解析:























-
- 比阿布规秀官衔大的关东军总司令大将白川义则,在上海滩粉身碎骨
-
2026-04-26 10:00:51
-
- 一个人怎么做自媒体?
-
2026-04-26 09:58:36
-
- 牛有几个胃分别有什么作用(牛几个胃分别叫什么)
-
2026-04-26 09:56:22
-
- 京味痞帅男主文:《今年冬天下雪吗》深情雅痞男主x固执清冷仙女
-
2026-04-26 09:54:08
-
- 六部重生带着金手指《重生之豪门娇宠》一路开挂,让主角风生水起
-
2026-04-26 09:51:53
-
- 看爽了!50张电工接线图,够你琢磨一天了
-
2026-04-25 17:42:44
-
- 人在地球上能够看到月球的背面吗(人能看到月球的背面吗)
-
2026-04-25 17:40:30
-
- 六•一国际儿童节,各国的节日习俗你知道吗
-
2026-04-25 17:38:16
-
- 香港警务处处长,相当于内地什么职务?为何被尊称为“一哥”?
-
2026-04-25 17:36:01
-
- 9部经典男扮女装的电视经常被电视台重复播出,你都看过吗?
-
2026-04-25 17:33:47
-
- 事实证明,许冠杰的传奇人生,打造了一个时代的符号
-
2026-04-25 17:31:32
-
- 带你了解一下汪精卫背后那些鲜为人知的往事
-
2026-04-25 17:29:18
-
- 什么是厄尔尼诺现象,它是如何导致的,它对全球气候有何影响?
-
2026-04-25 17:27:04
-
- 欧音史∣浪漫主义时期有哪些最著名的音乐家?他们有何重大作品?
-
2026-04-25 17:24:49
-
- 美军发动袭击!美军以“自卫”为由袭击叙利亚!
-
2026-04-25 17:22:35
-
- 图释方舆纪要——河间府
-
2026-04-25 17:20:21
-
- 他理应成上将,85年做了一件令全军敬佩的事,遗憾错失1988年授衔
-
2026-04-25 17:18:06
-
- 猛兽大对决 老虎单挑棕熊 强强对决的实现
-
2026-04-24 04:43:09
-
- 李永生:带着“山西味道”登顶珠峰
-
2026-04-24 04:40:55
-
- 离别前的疯狂!斗鱼女主播穿护士装挑衅打针,网友困惑又期待
-
2026-04-24 04:38:41



“娘娘”孙俪公布离婚,原因邓超出轨家暴?她晒甜蜜合照否认
兽人耽美小说爆款推荐!这五部高人气作品让你脸红心跳,入坑不亏