线性代数之矩阵秩的相关题型总结
线性代数之矩阵秩的相关题型总结
求矩阵的秩是考研数学一种常考的题型,经常出填空题,所以关于求矩阵的秩方法要熟练掌握。接下来小编整理了矩阵秩常考的方式。接下来小编总结整理了求矩阵的秩考察题型,及相应的真题详解。
一、考察题型
1、求数字型矩阵的秩
2、求抽象矩阵的秩
3、已知矩阵及其秩的信息,求其待定常数或其所满足的关系
上面的3种考察题型,前2个题型,在考研数学一近几年的真题中考得都是填空题。但是题型2在2008年考察了一道证明题。可以把重点放在求抽象矩阵的秩这种题型。
二、求抽象矩阵的秩知识
对于抽象矩阵的秩,常利用有关矩阵的秩的下述结论求即可。


题型一:求数字型矩阵的秩
例1(2007年考研真题)

分析:本题考察了矩阵幂的求法。
解:

总结:

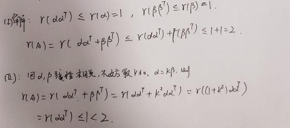
题型二:求抽象矩阵的秩
例2:(2008年考研真题)

证明:

总结:本题主要考察r(A+B)<=r(A)+r(B).
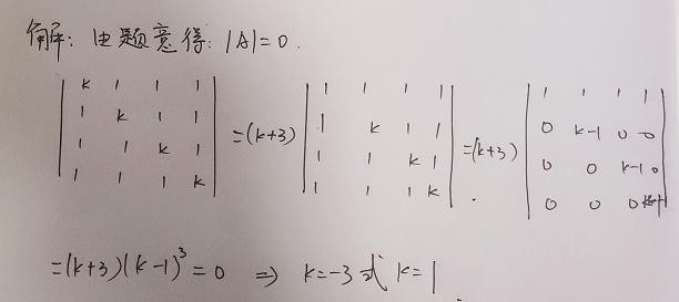
题型三:已知矩阵及其秩的信息,求其待定常数或其所满足的关系
例3:

分析:矩阵A是4阶矩阵,且r(A)=3<4,则|A|=0
解:

以上为求矩阵的秩常考题型分析,通过“题型—真题—解题思路——考查知识点”这一过程的学习,使考生详细了解到每一考点中已考过的题型,这种题型以前考过什么样的题目,常与哪些知识点联合,角度等等,从而使考生更好、更快地掌握重点和规律,快速提高解题能力。
-
- 人间有味是清欢
-
2026-02-02 21:57:01
-
- 蜜汁山药这样做轻松搞定:“老人小孩超喜欢,汤汁都不留。”
-
2026-02-02 21:54:47
-
- 超赞的风景马克笔写生作品,美翻了!
-
2026-02-02 21:52:32
-
- 1983年,年仅25岁的“女流氓”翟曼霞跪在刑场等待被枪决,
-
2026-02-02 21:50:18
-
- 自制蔬菜杀虫剂,3个妙招!不花一毛钱,绿色、环保、实用性强
-
2026-02-02 21:48:04
-
- 钟丽缇豁出去了!“内衣外穿”走机场,美艳不可方物
-
2026-02-02 21:45:49
-
- 蜘蛛兰又名水鬼蕉,盆栽蜘蛛兰清新淡雅,是居家装饰的好花卉
-
2026-02-02 21:43:35
-
- 袁四爷占有了程蝶衣我并觉得他下流,反而觉得这样发展下去也不错
-
2026-02-02 21:41:21
-
- 配合美台牵制解放军部队?印度组建18军,中印一线兵力比例1:13
-
2026-02-01 20:17:32
-
- 女性一生能接受多少个男性?三位女性的真实心声!
-
2026-02-01 20:15:18
-
- 南京有座中国象棋桥,形若棋盘,被誉为“中国最具创意的一座桥”
-
2026-02-01 20:13:03
-
- 男人冷落你的六个原因,对付突然不理你的男人
-
2026-02-01 20:10:49
-
- 军民团结一家亲
-
2026-02-01 20:08:34
-
- 传奇女星邱佩宁:一生只演一角,岁月不败的闪耀人生
-
2026-02-01 20:06:20
-
- 曹操想留下陈宫,但陈宫只求一死。陈宫只说了一句话让曹操热泪!
-
2026-02-01 20:04:06
-
- 参与赢奖!成都市第十届“守信讲责”演讲比赛启动报名!
-
2026-02-01 20:01:51
-
- 濒危“尸体花”盛开,数千人排队参观:腐臭难闻,观众或需呕吐袋
-
2026-02-01 19:59:37
-
- 8种家常下饭菜来了,轻松拿捏住这颗爱吃的胃,记得多煮米饭
-
2026-02-01 19:57:23
-
- 太强了!20张传统龙纹手绘稿,学画基本功
-
2026-02-01 19:55:08
-
- 世界上是否真的存在神仙?
-
2026-02-01 19:52:54



“娘娘”孙俪公布离婚,原因邓超出轨家暴?她晒甜蜜合照否认
兽人耽美小说爆款推荐!这五部高人气作品让你脸红心跳,入坑不亏